Special thanks are due to, in alphabetic order:
In order to completely destroy a planet a sufficient quantity of energy must be supplied for all of the planet's material to be ejected at or above escape velocity. We shall call this minimal amount the total gravitational binding energy. However this is not simply the kinetic energy of a planet-size mass moving at the surface escape velocity. Removal of the outer layers of the planet means that the new "surface" is closer to the centre of gravity (tending to give stronger surface gravity) but the gravity also tends to be weakened because there is less mass left. The real value of the total binding energy depends greatly on how the planet's bulk is distributed throughout its interior.
Assuming that the planet is spherical (a very good approximation for any body capable of sustaining human or other life), the proper way to do the calculation involves the consideration of the density as a function of radial distance r from the centre,



To evaluate the total binding energy U from this differential equation it is necessary to know a functional form for the density profile of the planet. Planets tend to be divided into several layers, each of which has distinctive chemical characteristics. In the case of the typical terrestrial planet there will at least be a distinct crust, mantle and core. The density of material can change suddenly at the boundaries between layers. For this reason I find it useful to treat the density function in a piecewise fashion for each layer (l) , as polynomials of r. In each layer the polynomial coefficients are chosen for a fit to a geological density profile.


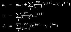
Equipped with these expressions it becomes possible to solve the differential equation for the binding energy. For the sake of expressing the final solution in a simple and succinct form it is useful to define the following three properties for each layer:


Then the total gravitational binding energy of the planet (U) can be expressed in the equation:

It must be emphasised that the gravitational binding energy is merely the absolute minimum energy required to blow a planet apart. It assumes complete efficiency in converting the injected energy into kinetic energy of the blast. In a real planetary demolition a substantial fraction of the input energy would be inadvertently wasted in heating some of the material. Also, a planet exploding at just above the threshold energy would take minutes or hours to waft apart completely. Although the demolition would be incomprehensibly violent to living beings on the surface of the doomed world, such a weak explosion would seem inelegant and might offer enough time for the escape of lucky starships already prepared for launch. Fortunately the Death Stars have been designed to yield many thousands of times more energy per blast than the minimum required. The planet Alderaan vanished spectacularly in under two seconds rather than hours. (For further discussion, refer to Death Stars.)
U = 2.4 x 1032 joules.
For use in the equations of the previous section, the radii for the layer boundaries were taken to be:
r0 = 0.000 x 100 m r2 = 3.474 x 106 m r3 = 5.578 x 106 m r4 = 6.098 x 106 m r5 = 6.378 x 106 mThe density profile in each section was treated as a quadratic function (ie. the coefficients went from zeroth to second order). In the various layers, the 0th, 1st and 2nd coefficients in SI metric units were respectively:
1.24 x 104 -1.16 x 10-4 -2.48 x 10-10 6.81 x 103 -3.85 x 10-4 0.0 1.39 x 104 -1.69 x 10-3 0.0 8.01 x 103 -7.86 x 10-4 0.0
![[Density profiles of Earth and Venus.]](/swtc/Pix/planets/density.gif)
Radial density models of Venus and Earth. Dashed profile is Earth. The interior of Venus and tectonic implications, Roger J. Philips & Michael C. Malin, in Venus. Diagram originally from: Basaltic Volcanism Study Project 1981, Basaltic Volcanism on the Terrestrial Planets, New York Pergamon, pp.633-699.
It follows that the energy of the explosion is less than 2.6 million times the threshold. The exact number depends on how the energy is distributed throughout the mass. This is only an upper limit because it's based on the most rapidly expanding (highest velocity) particles.
There were two equatorial rings expanding outwards in the equatorial plane. They moved at different speeds, but both were highly relativistic. A direct Newtonian interpretation of the motion of the rings is invalid; relativistic corrections are needed. The first ring moves at about 0.29c, and the second ring that overtakes and consumes it consumes it has a velocity of at least 0.91c. There is even an irritating possibility that it might be mildly superluminal.
![]()
The planet Alderaan, seen in the instants immediately before its demolition. The image of the initial condition of the planet is used as a yardstick to determine the scale of the explosion in subsequent frames. The frames of film are set 1/24 seconds apart.
[Indepdently suggested by Robert Brown(1) and Brian Young.] Perhaps it really is spherical, but the emission is not isotropic. The beamed emission may only reach an observer from only an annular region. Put another way, from a given position and angle, light is received only from a ring because of the angles at which the light is emitted from particular parts of the shell. However this might not be consistent with the symmetry of the explosion; it may imply that different sides of the shell beam in different directions. Perhaps the beaming is concial rather than unidirectional? Perhaps a more subtle physical effect is at work, like a rainbow.
Alternatively, it may be necessary to determine why there is a preferred plane in the explosion for the ring but not for the other debris. It may be related to the spin axis of the object. In the case of the Death Stars, the special plane may be determined by the path travelled by the chain reactions leading to the final detonation. Alternatively, the preferred plane may be determined by the nett angular momentum of the planetary or Death Star deflector shield, or some other shield characteristic.
![]()
Incandescent rings emerging from the explosions of Alderaan and the first Death Star.
This page was constructed and is maintained by
Curtis Saxton.
This page is neither affiliated with nor endorsed by Lucasfilm Ltd.
Images included in or linked from this page are copyright Lucasfilm Ltd. and are used here under Fair Usage terms of copyright law.
This site is kindly hosted by TheForce.net.